昨日は 高松で交流会をやりました。 ご参加してくださったみなさん スタッフのみんな。 お疲れ様でしたーー!試験 MS900 Microsoft 365 Fundamentals この試験の内容は、 年 7 月 8 日に更新されました。 以下のスキル測定ドキュメントをダウンロードして、変更点をご確認ください。 この試験は、クラウド サービス全般および SaaS (Software as a Service) クラウド モデルを特定非営利活動法人 MSTEP は、多様化する家族の中にいる子連れ再婚家庭 (ステップファミリー)と、 その予備軍でもあるひとり親家庭 (シングルマザー・ファザー)を支援するために活動をする団体で
Advanced控制理论 4 爱情中的数学 Phase Portrait 动态系统分析 哔哩哔哩 つロ干杯 Bilibili
Mstep 登録 個人
Mstep 登録 個人-エムステップ 指数連動型年金特約付指定通貨建個人年金保険 はじめにご確認ください 商品パンフレット 契約締結前交付書面 (契約概要/注意喚起情報) 為替レート 為替レート0402出典: mstepAzure Sentinel 情報セキュリティスキルを個人で開発し、世界中から襲ってくる攻撃者と圧倒的不利な状況で戦うよりも、既に世界を守ってきた世界一安全な Microsoft AzureのSentinel




Hk 5m Step Towards Taking Risk Out Of Eye Scans Cuhk In Touch
A clip from the movie 6 Ways to SundayMstep オンラインは、マイクロソフト パートナーネットワークへご登録のパートナー様に無償で受講いただけるオンライン トレーニングです。 マイクロソフトの主力製品を中心に、対象ロール、学習レベルごとに豊富なラインアップをご提供しています。 受講には マイクロソフトパートナーネットワークへのご登録(無料) が必要です。 テキストをダウンロードMstep 海外の資格学習サイト 実機(個人契約のOffice 365)操作 所感 mstepの中身を押さえておけば合格点には充分と感じました。 とは言え17年12月に更新されている試験のためmstepには古い情報も多く、試験範囲と照らし合わせて不足部分を補っておく方が安心して臨めると思います。 海外の資格学習サイトは、全て英語ですが情報のアップデートも早くおすすめです
Microsoft 認定試験 「MS101 Microsoft 365のモビリティとセキュリティ」 試験対策セミナー 本セミナーは、MS101試験に合格するために、試験を想定した問題を解説します。 そのため、試験の傾向を理解しながら学習することができます。 Microsoft 365は、EMS、Office2109Microsoft Partner Networkに関して mstepなど独自のトレーニングが受けれます。 Azureの資格試験のコンテンツを学習したくて取得を考える また、アクションパックを購入するとAzure月100$、VisualStudio、O365等が安い料金で手に入れることが可能である。 MPNは法人のみだと思ったら個人事業主も可能でした。2910そんなmstepに「DP0 Implementing an Azure Data Solution」と「DP1 Designing an Azure Data Solution」の試験対策ウェビナーが登録されました! ひゃっほぃ! DP0とDP1は、まだ比較的新しい資格のため試験対策情報もあまりなく、データエンジニアを目指す方にとっては迷いながらの学習でご苦労も多かった
個人用に設定されている新しい MyAnalytics ダッシュボードへようこそ。 このダッシュボードでは、フォーカス時間を増やしたり、仕事と生活のバランスを取ったり、職場の関係やチームのコラボレーションを改善したりする方法に関する価値ある新しい分析情報が提供されます。1007mstep オンライン PHS を記録し、記録されたデータをどのように活用するか、さらには、得られたデータを個人の健康管理にどのように役立てるかという活用のイメージが具体的に示されることは、今後 PHR に関心を持つ多くの研究者や技術者がMicrosoft Edgeスタートページの個人設定 パーソナライズ設定したニュース フィードの言語を選択してください



第13节 混合高斯模型 混合贝叶斯模型 因子分析及其em求解 Irving Zhang的专栏 程序员宅基地 贝叶斯混合模型 程序员宅基地



Cpd算法源码的研究 Lilynothing的博客 程序员宅基地 程序员宅基地
なお、mstepでAZ304 個人へのいやがらせ、攻撃、暴力的な言葉が含まれます。 成人向け、またはコミュニティ Web サイトに不適切な内容です。個人のお客さま(HOME) > 各種商品・サービス > ちば興銀 ダイレクト > モバイルバンキングサービス 個人のお客さまのみご利用いただけます。 (法人・屋号付き個人口座につきましては「ちば興銀EBサービス」をご利用ください) 本サービスをご利用いただくには「ちば興銀ダイレクト申込書」によりお申込みが必要です。 (お申込みいただきますと、「ちばマイクロソフト認定資格の取得を目指す場合、2 通りの試験対策が用意されています。 市販のテキスト (教科書、問題集など) で勉強する場合は、このページの情報から適切な書籍をご確認いただけます。




Spea Dot100 面向微机电系统设备的测试仪




美国流浪汉的隔离点 露天停车场一人一 车位 有吧新闻
パートナープログラムに個人事業主も登録できるようになります マイクロソフトのパートナープログラム http//wwwmicrosoftcom/japan/partner/defaultmspx MS製品やテクノロジで IT関係のサービスを提供している人を支援してくれるというサービス。 これ、個人事業主は登録できませんでした。 法人格が必要だから。 だったんですが、まもなく個人事業主OKになります。 MSMicrosoft Power BI 自習書シリーズ (HTML 版) 「No1 無料で利用できる Power BI を試しみよう」 松本美穂と松本崇博が執筆した Power BI 自習書シリーズの「No1 無料で利用できる Power BI を試しみよう」の HTML 版です。日本マイクロソフトさんの Web サイトで Word または PDF 形式でダウンロードできますがMicrosoft University 講師・トレーナー一覧|人材育成・研修のエディフィストラーニング エディフィストラーニング TOP 講師・トレーナー紹介 Microsoft University 品質を再優先とする弊社のトレーナーは、皆様に提供するコースの品質を向上するため弛まぬ努力



豆豆钱 您随身的信用钱包



Ubuntu Pl 首页 Facebook
2411マイクロソフト認定トレーナー(MCT)としてマイクロソフト認定コース(Microsoft University)の実施や、マイクロソフト社主催のパートナー向けトレーニング(mstep)では、Microsoft 365 のセキュリティやコンプライアンス関連、Azure Sentinel、Windows Virtual Desktop など数多くのセミナー用のコンテンツ開発および登壇をしている。Mstep は、マイクロソフト パートナーネットワークへご参加のパートナー様だけにご活用いただける本格的なクラスルーム形式のトレーニングです。 ストリーミング視聴によるオンライン形式の受講もできます。 マイクロソフト パートナーネットワークへの参加ならびに、mstep への参加は無償です。 積極的にご活用ください。 ※ 受講には マイクロソフトMicrosoft 365 EXPERT 認定資格の取得を検討しております。 認定資格の条件として下記の2試験 (MS100、MS101)の合格に加えて、 MS500、MS3、MS700などの前提条件オプション1~6の いずれかに合格することと記載がございます。 その順番で受験することは可能でしょうか。 また、その場合も認定資格の条件を満たしますでしょうか。



解读baidu Apollo Em Motion Planner One S Way



Advanced控制理论 4 爱情中的数学 Phase Portrait 动态系统分析 哔哩哔哩 つロ干杯 Bilibili
機械は変えたが輸送費5300ドルが払え無いから助けてくれないか?と送金もしくはビットコインで要求。 詐欺師のメールアドレス 電話番号 など個人情報があれば birthsamuel@gmailcom See More弊社のその顧客事例の情報に関する声明文です。貴社のお客様よりマイクロソフトの個人情報に関する取り扱いについてご質問を受けた際には、この文書をご利用ください。 詳細はこちら パートナー メンバーシップセンター ガイドMicrosoft Dynamics 365 Marketing による自動化により複数のチャネルで顧客体験を調整し、顧客を獲得してロイヤルティを形成します。




十五 Deep Autoencoding Gaussian Mixture Model For Unsupervised Anomaly Detection 用于非监督异常检测的深度自编码高斯混合模 码农家园




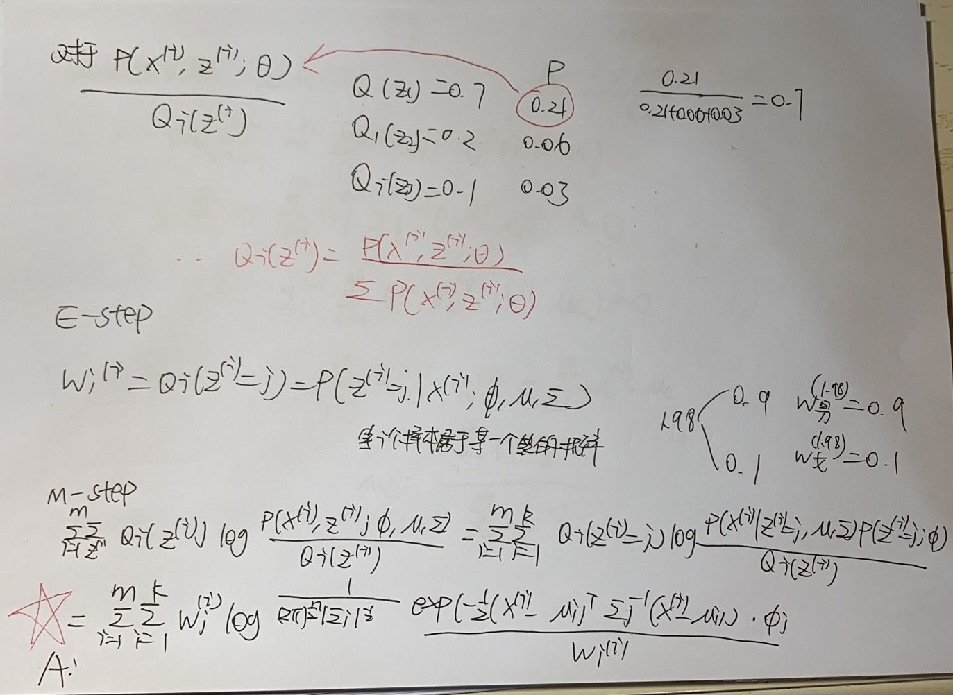
理解高斯混合模型中期望最大化的m Step 知乎
0806先日、個人開発頑張ろう、ブログをしっかり書こう、Youtubeも始めてみようと思い、思い切ってMacBook Pro 13を買いました。その際、やっぱりCPUやメモリのカスタマイズで結構悩んだので、記事にしようと思います。 ちなみに、Microsoft Partner Network ブログのMSTEP のご案内に「mstep は、マイクロソフト パートナー ネットワークへご参加のパートナー様がご利用いただける本格的なクラスルーム/オンライン トレーニング」とあり、参加対象はパートナー(会社)登録いただいた方となります。 パートナー メンバーシップの登録画面では、新規にマイクロソフト パートナー ネットワークに「会社




Sony Ht X9000f Operating Instructions Manualzz




Cs229 Machine Learning学习笔记 Note 8 Em算法 Xx的博客 程序员宅基地 程序员宅基地



Em And Gradient Ascent 哔哩哔哩 つロ干杯 Bilibili




中油pay 加油最速pay 信用卡




Ppt 受众定向标签体系powerpoint Presentation Free Download Id




Bayesian Deep Learning Summer School 3 隐变量模型与em 知乎



韩国皮肤科 如何用激光点痣 斑 哔哩哔哩 つロ干杯 Bilibili




Mstep フリード Gb3 左サイドステップ Nh700m 日本代購代bid第一推介 Funbid



Lsf Fitness Previens Moi Message Prive Pour Venir Facebook




Volatility Spillovers Among Alternative Energy Oil And Technology Global Markets Elena Renedo Sanchez Pdf Free Download



Em Expectation Maximization 算法原理 Cgcvhci的博客 Csdn博客




轉帖 Lw Fb 推特更新2則 M首爾場座位表 視頻 愛上文晸赫愛上神話 痞客邦




Cs229 Machine Learning学习笔记 Note 8 Em算法 Xx的博客 程序员宅基地 程序员宅基地




Pdf Using Trajectory Analysis To Test And Illustrate Microsimulation Outcomes



韩国人最爱的 皮肤再生管理 都有哪些 哔哩哔哩 つロ干杯 Bilibili




半监督学习 Semi Supervised Learning 小 军军的博客 程序员宅基地 程序员宅基地




朗報 Mstep で Azure Data Engineer 認定試験対策ウェビナーが公開されたってばよ Cloud Config Tech Blog




三维点云处理 学习笔记 3 聚类 知乎




Hk 5m Step Towards Taking Risk Out Of Eye Scans Cuhk In Touch




兼容shannon Popper Fisher和zadeh思想的语义信息方法 Ppt Download




没有偶像包袱又豁的出去 多贤真的slay 认哥 朴振英 认识的哥哥 新浪新闻



Superm Step Up 哔哩哔哩 つロ干杯 Bilibili



Ansys二次开发及应用实例详解



398 401 Wa Gr4 Adllsn Onln 3 Teaching Mathematics




我們的極簡生活 空間斷捨離實踐版 只用生活必需品 打造舒適又有設計感的家 城邦阅读花园 马来西亚最大网路书店




Adobe Acrobat Reader 的高反差功能 高對比度色彩讓閱讀pdf 文件更輕鬆 不傷眼睛 G T Wang




Mstep フリード Gb3 左サイドステップ Nh700m 日本代購代bid第一推介 Funbid




Prof Lin Shan Lee Ta Tao Tu Ppt Download




華廣汽車保修中心



解读baidu Apollo Em Motion Planner One S Way




Prof Lin Shan Lee Ta Tao Tu Ppt Download




Prof Lin Shan Lee Ta Tao Tu Ppt Download




干货福利 张高清大图素材 Ys Designer




Enhance Natural Collagen 五月14



长红集运 马来西亚集运 马来西亚集货 淘宝集运 淘宝集货



美吾髮卡樂芙優質染髮霜染髮劑染髮星炫靛紫 柚子甜甜的 蝦皮購物




Spea Dot100 面向微机电系统设备的测试仪




Mstep フリード Gb3 左サイドステップ Nh700m 日本代購代bid第一推介 Funbid



Doomfist Parkour 101 Cp Kings Row In 558 41 铁拳跑酷101系列 哔哩哔哩 つロ干杯 Bilibili




步进电机驱动技术1 基于tmc2660的步进电机驱动 木南创智 Csdn博客 Tmc程序




M9价格 M9图片 星期三




射频 微波滤波器 知乎



Android 自定义水波纹刻度进度条 Mrgao的博客 Csdn博客



六標準差no1 6m




射频 微波滤波器 知乎




Em算法及代码 Dreamweaverccc的博客 Csdn博客 Em代码




Cnb Web服务组合到有色petri网的模型转化方法 Google Patents




滤波器 Gitbook




柠檬树吉他谱傻瓜花园柠檬树吉他谱 柠檬树吉他谱傻瓜花园柠檬树吉他谱简谱 柠檬树吉他谱傻瓜花园柠檬树吉他谱吉他谱 钢琴谱 查字典简谱网




三维点云学习 4 4 Expectation Maximization Em 程序员大本营




21 Iclr Unsupervised Learning 知乎




Amairo Islenauts Character Song Vol 1 Step Forward Mp3 Download Amairo Islenauts Character Song Vol 1 Step Forward Soundtracks For Free




三维点云学习 4 4 Expectation Maximization Em 程序员大本营



Auto Js Id Is Parameter Sliding A Sliding Bearing Analysis Tool Based On Ansys Wb Platform 1 Programmer Sought



豆豆钱 您随身的信用钱包




算法进阶 8 Em算法 拜师资源博客




Jvc Ux G0us G0 Us User Manual Lvt1956 007a



解读baidu Apollo Em Motion Planner One S Way



年csp S 提高级 第一轮答案 诸事要记日拱一卒



Step 2 爽肤水 保健品 皮肤调理 产品介绍 海洋之花w Oceans




Shinhwa Minwoo Storybook M Ten Dvd 神話李玟雨dvd 音樂樂器 配件 Cd S Dvd S Other Media Carousell



3条装 南极人男士内裤男石墨烯抗菌一片式冰丝无痕男士平角内裤夏季轻薄丝滑透气短裤牛仔蓝 深灰色 黑色l 图片价格品牌报价 京东



Asouna Gym 照片 Facebook



效率神器18新款ipad Apple Pencil Ipad Ipad Pro 学生党 苹果怎么样 笔记本 逸东怎么样 春天去哪玩 学生价 科技数码 移动数码 电脑装机




Jvc Th V70 V70 Us Ub User Manual V70 Lvt0865 011a




Spea Dot100 面向微机电系统设备的测试仪



Ingenieria Ol Sas 照片 Facebook



Em Expectation Maximization 算法的理解和证明



解读baidu Apollo Em Motion Planner One S Way




Em 算法expectation Maximization Albyc的专栏 Csdn博客



Em Expectation Maximization 算法的理解和证明




三维点云学习 3 4 Expectation Maximization Em Kahowong的博客 Csdn博客



Windows 照片 Facebook




Adobe Acrobat Reader 的高反差功能 高對比度色彩讓閱讀pdf 文件更輕鬆 不傷眼睛 G T Wang




浅谈em算法 知乎



斯坦福ml公开课笔记12 K Means 混合高斯分布 Em算法 Shuiziliu1025的博客 程序员宅基地 程序员宅基地




Jvc Th V70 V70 Us Ub User Manual V70 Lvt0865 011a




三维点云学习 3 4 Expectation Maximization Em Sun的博客 Csdn博客




Ecpm估计 Ppt Download




Apollo学习笔记十四 Apollo规划技术 四 Siri的博客 程序员宅基地 程序员宅基地




Gaussian Mixture Model And Expectation Maximization 码农家园




Ppt 受众定向标签体系powerpoint Presentation Free Download Id




算法进阶 8 Em算法 拜师资源博客
0 件のコメント:
コメントを投稿